Elm Brook Post 449 Cabins

Cabin Occupancy Application

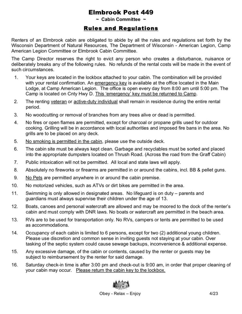
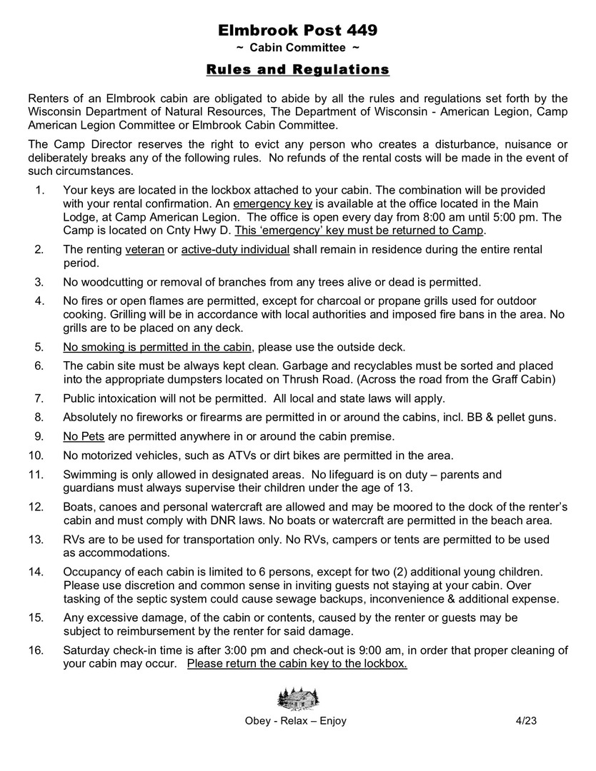
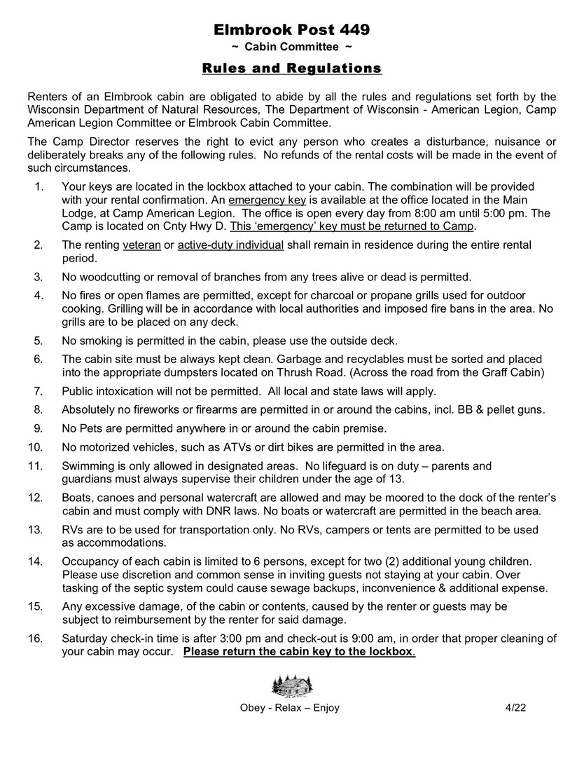
Thank you for considering a vacation at one of our beautiful cabins. Here's the paperwork you should review prior to making a reservation. It's a two-sided agreement called our CABIN OCCUPANCY APPLICATION that's filled out when we comfirm your reservation and receive your payment. It specifies the cabin and dates confirmed. The back of the agreement (page 2) contains the rules all renters need to follow for an enjoyable vacation experience.

 

Please note the part about cancellations. If you cancel your reservation, we will not refund any of your rental fee unless we re-rent the cabin/date you reserved.

 

We suggest you download and print a copy of this agreement for your records. To do so, please click on the PDF icon, below:

2023 Cabin Occupancy Application
2023 Cabin Occupancy Application.pdf
Adobe Acrobat document [192.5 KB]

Here's what you just clicked on.  We'll have copies of this agreement available for everyone on Cabins Sign-up Day. Again, please review both sides. If you have any questions, please contact Al Reich, our Cabins Chairman, telephone 262-523-4525 or e-mail afreich@wi.rr.com.

Again, thank you for considering a vacation at one of our fine cabins.  We look forward to welcoming you to the best vacation ever!